ΠΙΝΑΚΑΣ 01.
ΕΠΙΦΑΝΕΙΕΣ
ΟΙΚΙΑΚΗΣ ΧΡΗΣΗΣ 2012, ΣΥΝΤΕΛΕΣΤΕΣ ΤΕΛΩΝ & ΕΠΙΦΑΝΕΙΕΣ
09ος
2020
|
Δημοτική Ενότητα |
Οικισμός |
ΟΙΚΙΑΚΑ m2 2012 |
ΟΙΚΙΑΚΑ m2 ΣΕΠΤΕΜ - 2020 |
Συντελεστής 2012 |
|
ΑΡΧΑΓΓΕΛΟΥ |
ΚΟΙΝ. ΑΡΧΑΓΓΕΛΟΥ |
200.782 |
227.758,00 |
1,3 |
|
ΚΟΙΝ. ΜΑΛΩΝΟΣ |
62.307 |
68.249,00 |
1,3 |
|
|
ΚΟΙΝ. ΜΑΣΑΡΩΝ |
34.896 |
37.649,00 |
1,3 |
|
|
ΑΤΑΒΥΡΟΥ |
ΚΟΙΝ. ΑΓ.ΙΣΙΔΩΡΟΥ |
18.482 |
19.253,00 |
1,1 |
|
ΚΟΙΝ. ΕΜΠΩΝΑ |
51.789 |
54.841,00 |
1,1 |
|
|
ΚΟΙΝ. ΚΡΗΤΗΝΙΑΣ |
19.314 |
22.059,00 |
1,1 |
|
|
ΚΟΙΝ. ΜΟΝΟΛΙΘΟΥ |
11.732 |
12.399,00 |
1,1 |
|
|
ΚΟΙΝ. ΣΙΑΝΩΝ |
9.136 |
9.454,00 |
1,1 |
|
|
ΑΦΑΝΤΟΥ |
ΚΟΙΝ. ΑΡΧΙΠΟΛΕΩΣ |
26.307 |
29.142,00 |
1,2 |
|
ΚΟΙΝ. ΑΦΑΝΤΟΥ |
235.521 |
286.466,00 |
1,2 |
|
|
ΙΑΛΥΣΟΥ |
ΔΕ ΙΑΛΥΣΟΥ |
524.224 |
600.154,00 |
1,7 |
|
ΚΑΛΛΙΘΕΑΣ |
ΚΟΙΝ. ΚΑΛΥΘΙΩΝ |
185.708 |
216.698,00 |
1,3 |
|
ΚΟΙΝ. ΚΟΣΚΙΝΟΥ |
195.015 |
237.309,00 |
1,3 |
|
|
ΚΟΙΝ. ΨΙΝΘΟΥ |
27.323 |
31.888,00 |
1,3 |
|
|
ΚΑΜΕΙΡΟΥ |
ΚΟΙΝ. ΑΠΟΛΛΩΝΑ |
29.234 |
29.923,00 |
1,4 |
|
ΚΟΙΝ. ΔΙΜΥΛΙΑΣ |
17.402 |
18.677,00 |
1,4 |
|
|
ΚΟΙΝ. ΚΑΛΑΒΑΡΔΑ |
21.703 |
24.705,00 |
1,4 |
|
|
ΚΟΙΝ. ΠΛΑΤΑΝΙΩΝ |
5.207 |
5.330,00 |
1,4 |
|
|
ΚΟΙΝ. ΣΑΛΑΚΟΥ |
24.688 |
25.869,00 |
1,4 |
|
|
ΚΟΙΝ. ΣΟΡΩΝΗΣ |
53.208 |
57.736,00 |
1,4 |
|
|
ΚΟΙΝ. ΦΑΝΩΝ |
35.400 |
39.409,00 |
1,4 |
|
|
ΛΙΝΔΙΩΝ |
ΚΟΙΝ. ΚΑΛΑΘΟΥ |
17.558 |
23.476,00 |
2 |
|
ΚΟΙΝ. ΛΑΕΡΜΩΝ |
12.721 |
13.580,00 |
1,2 |
|
|
ΚΟΙΝ. ΛΑΡΔΟΥ |
47.673 |
60.416,00 |
2 |
|
|
ΚΟΙΝ. ΛΙΝΔΟΥ |
46.855 |
70.549,00 |
2 |
|
|
ΚΟΙΝ. ΠΥΛΩΝΟΣ |
18.794 |
22.862,00 |
1,2 |
|
|
ΝΟΤ.ΡΟΔΟΥ |
ΚΟΙΝ. ΑΠΟΛΑΚΚΙΑΣ |
17.323 |
19.447,00 |
1,2 |
|
ΚΟΙΝ. ΑΡΝΙΘΑΣ |
3.211 |
3.311,00 |
1,2 |
|
|
ΚΟΙΝ. ΑΣΚΛΗΠΙΕΙΟΥ |
27.176 |
34.454,00 |
1,2 |
|
|
ΚΟΙΝ. ΒΑΤΙΟΥ |
9.253 |
9.950,00 |
1,2 |
|
|
ΚΟΙΝ. ΓΕΝΝΑΔΙΟΥ |
52.807 |
70.153,00 |
1,2 |
|
|
ΚΟΙΝ. ΙΣΤΡΙΟΥ |
5.479 |
5.911,00 |
1,2 |
|
|
ΚΟΙΝ. ΚΑΤΤΑΒΙΑΣ |
22.527 |
26.008,00 |
1,2 |
|
|
ΚΟΙΝ. ΛΑΧΑΝΙΑΣ |
18.856 |
27.442,00 |
1,2 |
|
|
ΚΟΙΝ. ΜΕΣΑΝΑΓΡΟΥ |
6.289 |
6.882,00 |
1,2 |
|
|
ΚΟΙΝ. ΠΡΟΦΙΛΙΑΣ |
4.485 |
4.610,00 |
1,2 |
|
|
ΠΕΤΑΛΟΥΔΩΝ |
ΚΟΙΝ. ΔΑΜΑΤΡΙΑΣ |
22.522 |
23.639,00 |
1,2 |
|
ΚΟΙΝ. ΘΕΟΛΟΓΟΥ |
25.879 |
28.590,00 |
1,2 |
|
|
ΚΟΙΝ. ΚΡΕΜΑΣΤΗΣ |
218.215 |
244.164,00 |
1,2 |
|
|
ΚΟΙΝ. ΜΑΡΙΤΣΩΝ |
67.932 |
78.966,00 |
1,2 |
|
|
ΚΟΙΝ. ΠΑΡΑΔΕΙΣΙΟΥ |
110.029 |
120.476,00 |
1,2 |
|
|
ΚΟΙΝ. ΠΑΣΤΙΔΑΣ |
132.922 |
155.956,00 |
1,2 |
|
|
ΡΟΔΟΥ |
ΔΕ ΡΟΔΟΥ |
2.320.628 |
2.471.862,00 |
1,7 |
|
4.998.512 |
5.577.672 |
Από τον παραπάνω Πίνακα προκύπτει αύξηση της συνολικής επιφάνειας 2012 2020 = 579.160m2 ή 9,18%
Η αύξηση αυτή των επιφανειών, με δεδομένους τους Συντελεστές του 2012, συνεπάγεται υψηλότερα προσδοκώμενα ανταποδοτικά έσοδα σήμερα κατά 856.016,10 € ή 8,90% .
ΠΙΝΑΚΑΣ 02.
ΕΠΙΦΑΝΕΙΕΣ
ΓΕΝΙΚΗΣ ΧΡΗΣΗΣ 2012, ΣΥΝΤΕΛΕΣΤΕΣ ΤΕΛΩΝ & ΕΠΙΦΑΝΕΙΕΣ
09ος
2020
|
Δημοτική Ενότητα |
Οικισμός |
ΓΕΝ. ΧΡΗΣΗ Τ.Μ. 2012 |
ΣΕΠΤΕΜ-2020 |
Συντελεστής 2012 |
|
ΑΡΧΑΓΓΕΛΟΥ |
ΚΟΙΝ. ΑΡΧΑΓΓΕΛΟΥ |
72.051 |
78.218,00 |
2,3 |
|
ΚΟΙΝ. ΜΑΛΩΝΟΣ |
13.921 |
14.683,00 |
2,3 |
|
|
ΚΟΙΝ. ΜΑΣΑΡΩΝ |
5.781 |
6.206,00 |
2,3 |
|
|
ΑΤΑΒΥΡΟΥ |
ΚΟΙΝ. ΑΓ.ΙΣΙΔΩΡΟΥ |
2.172 |
2.229,00 |
1,7 |
|
ΚΟΙΝ. ΕΜΠΩΝΑ |
16.277 |
17.891,00 |
1,7 |
|
|
ΚΟΙΝ. ΚΡΗΤΗΝΙΑΣ |
5.193 |
6.439,00 |
1,7 |
|
|
ΚΟΙΝ. ΜΟΝΟΛΙΘΟΥ |
1.567 |
1.875,00 |
1,7 |
|
|
ΚΟΙΝ. ΣΙΑΝΩΝ |
1.615 |
1.996,00 |
1,7 |
|
|
ΑΦΑΝΤΟΥ |
ΚΟΙΝ. ΑΡΧΙΠΟΛΕΩΣ |
3.840 |
3.955,00 |
2,3 |
|
ΚΟΙΝ. ΑΦΑΝΤΟΥ |
359.121 |
385.597,00 |
2,3 |
|
|
ΙΑΛΥΣΟΥ |
ΔΕ ΙΑΛΥΣΟΥ |
480.095 |
546.439,00 |
2,5 |
|
ΚΑΛΛΙΘΕΑΣ |
ΚΟΙΝ. ΚΑΛΥΘΙΩΝ |
268.406 |
279.289,00 |
2,5 |
|
ΚΟΙΝ. ΚΟΣΚΙΝΟΥ |
337.733 |
373.962,00 |
2,5 |
|
|
ΚΟΙΝ. ΨΙΝΘΟΥ |
4.000 |
4.561,00 |
2,5 |
|
|
ΚΑΜΕΙΡΟΥ |
ΚΟΙΝ. ΑΠΟΛΛΩΝΑ |
4.134 |
4.570,00 |
3 |
|
ΚΟΙΝ. ΔΙΜΥΛΙΑΣ |
1.225 |
1.534,00 |
3 |
|
|
ΚΟΙΝ. ΚΑΛΑΒΑΡΔΑ |
6.026 |
6.153,00 |
3 |
|
|
ΚΟΙΝ. ΠΛΑΤΑΝΙΩΝ |
321 |
322,00 |
3 |
|
|
ΚΟΙΝ. ΣΑΛΑΚΟΥ |
5.566 |
6.091,00 |
3 |
|
|
ΚΟΙΝ. ΣΟΡΩΝΗΣ |
11.828 |
12.688,00 |
3 |
|
|
ΚΟΙΝ. ΦΑΝΩΝ |
19.689 |
20.614,00 |
3 |
|
|
ΛΙΝΔΙΩΝ |
ΚΟΙΝ. ΚΑΛΑΘΟΥ |
24.075 |
26.200,00 |
3 |
|
ΚΟΙΝ. ΛΑΕΡΜΩΝ |
924 |
1.315,00 |
1,7 |
|
|
ΚΟΙΝ. ΛΑΡΔΟΥ |
42.841 |
53.774,00 |
3 |
|
|
ΚΟΙΝ. ΛΙΝΔΟΥ |
93.914 |
106.643,00 |
4 |
|
|
ΚΟΙΝ. ΠΥΛΩΝΟΣ |
2.496 |
2.565,00 |
1,7 |
|
|
ΝΟΤ.ΡΟΔΟΥ |
ΚΟΙΝ. ΑΠΟΛΑΚΚΙΑΣ |
3.189 |
3.141,00 |
2,3 |
|
ΚΟΙΝ. ΑΡΝΙΘΑΣ |
2.023 |
2.058,00 |
2,3 |
|
|
ΚΟΙΝ. ΑΣΚΛΗΠΙΕΙΟΥ |
70.821 |
123.718,00 |
2,3 |
|
|
ΚΟΙΝ. ΒΑΤΙΟΥ |
823 |
895,00 |
2,3 |
|
|
ΚΟΙΝ. ΓΕΝΝΑΔΙΟΥ |
24.487 |
55.763,00 |
2,3 |
|
|
ΚΟΙΝ. ΙΣΤΡΙΟΥ |
358 |
360,00 |
2,3 |
|
|
ΚΟΙΝ. ΚΑΤΤΑΒΙΑΣ |
20.482 |
9.979,00 |
2,3 |
|
|
ΚΟΙΝ. ΛΑΧΑΝΙΑΣ |
18.065 |
49.976,00 |
2,3 |
|
|
ΚΟΙΝ. ΜΕΣΑΝΑΓΡΟΥ |
166 |
265,00 |
2,3 |
|
|
ΚΟΙΝ. ΠΡΟΦΙΛΙΑΣ |
682 |
768,00 |
2,3 |
|
|
ΠΕΤΑΛΟΥΔΩΝ |
ΚΟΙΝ. ΔΑΜΑΤΡΙΑΣ |
8.063 |
8.495,00 |
2,3 |
|
ΚΟΙΝ. ΘΕΟΛΟΓΟΥ |
57.148 |
47.932,00 |
2,3 |
|
|
ΚΟΙΝ. ΚΡΕΜΑΣΤΗΣ |
90.340 |
96.629,00 |
2,3 |
|
|
ΚΟΙΝ. ΜΑΡΙΤΣΩΝ |
12.036 |
14.871,00 |
2,3 |
|
|
ΚΟΙΝ. ΠΑΡΑΔΕΙΣΙΟΥ |
32.636 |
34.797,00 |
2,3 |
|
|
ΚΟΙΝ. ΠΑΣΤΙΔΑΣ |
23.998 |
29.785,00 |
2,3 |
|
|
ΡΟΔΟΥ |
ΔΕ ΡΟΔΟΥ |
980.894 |
1.120.802,00 |
5 |
|
3.131.022 |
3.566.043 |
|
|
|
2012 (€) |
Σεπτ. 2020 (€) |
Διαφορά (€) |
|
|
Προσδοκώμενα Ανταποδοτικά Έσοδα Οικιακής Χρήσης |
7.607.235,40 |
8.463.251,50 |
+856.016,10 |
+8,90% |
|
Προσδοκώμενα Ανταποδοτικά Έσοδα Γενικής Χρήσης |
10.290.312,10 |
11.721.983,80 |
+1.431.671,70 |
+11,13% |
|
ΣΥΝΟΛΑ |
17.897.547,50 |
20.185.235,30 |
+2.287.687,80 |
+10,18% |
ΟΙΚΙΑΚΗ ΧΡΗΣΗ
ΓΕΝΙΚΗ ΧΡΗΣΗ
|
2019 (€) |
2018 (€) |
2017 (€) |
2016 (€) |
||||
|
ΕΙΣΠΡΑΧΘΕΝΤΑ |
ΕΙΣΠΡΑΧΘΕΝΤΑ |
ΕΙΣΠΡΑΧΘΕΝΤΑ |
ΕΙΣΠΡΑΧΘΕΝΤΑ |
|||||
|
ΚΑ-031 |
19.318.077,17 |
18.200.713,47 |
18.170.399,61 |
16.961.862,84 |
||||
|
ΚΑ-2111 |
1.562.828,33 |
390.548,84 |
404.777,00 |
112.395,17 |
||||
|
ΚΑ-3211 |
261.292,26 |
225.908,28 |
298.722,00 |
38.548,36 |
||||
|
ΣΥΝΟΛΟ |
21.142.197,76 |
18.817.170,59 |
18.873.898,61 |
17.112.806,37 |
||||
|
||||||||
Τα δύο (2) επόμενα χρόνια άρχισε να γίνεται χρήση χρηματικού υπολοίπου, μη ειδικευμένου σε ξεχωριστό ΚΑ Εσόδων, για να καλυφθούν προβλεπόμενες δαπάνες, οι οποίες όμως τελικά δεν έφθαναν το ύψος αυτών, που πραγματικά διενεργούνταν, κατά το έτος αναφοράς.
Συγκεκριμένα:
Το 2018 (απόφαση 1359/27.11.2018): Πρόβλεψη για το 2019 με ισοσκέλιση προβλεπόμενων Εσόδων – Δαπανών με χρήση χρηματικού υπολοίπου 8.137.471,00 χωρίς να είναι ειδικευμένο.
|
ΠΛΗΡΩΘΕΝΤΑ |
||||
|
ΚΑ |
2019 |
2018 |
2017 |
2016 |
|
Σύνολα ΚΑ: 20-6 (πλην Ρεύματος) |
12.226.367,13 |
12.855.014,38 |
10.456.102,53 |
7.525.476,38 |
|
Σύνολα ΚΑ: 20-7 |
0,00 |
96.552,61 |
10.465,60 |
108.857,80 |
|
Σύνολα ΚΑ: 20-8 |
157.132,74 |
283.429,27 |
251.963,83 |
476.562,32 |
|
20-6211.0001 – Ρεύμα* |
7.153.764,84 |
1.252.497,30 |
4.457.558,75 |
3.895.847,98 |
|
19.539.283,71 |
14.489.511,56 |
15.178.107,71 |
12.008.760,48 |
|
Για την προσέγγιση της δαπάνης ηλεκτρικής ενέργειας Οδοφωτισμού και κοινοχρήστων χώρων δεν χρησιμοποιήθηκαν ποτέ τα δεδομένα χρέωσης των λογαριασμών της ΔΕΔΗΕ και συγκεκριμένα οι τελικές χρεώσεις παροχών ανάλογα με την κατηγορία τους.
Οι παροχές του δήμου όπως καταγράφονται στους απολογιστικού λογαριασμούς της ΔΕΗ αφορούν στις κατηγορίες:
ΑΓΡΟ, ΒΓΕ, Γ1, Γ21, Γ22, Γ23, Ε21, ΦΟΠ
Οι χρεώσεις ΦΟΠ επί των συνολικών χρεώσεων τόσο το 2017 όσο 2018 όσο και το 2019 δεν ξεπερνούν το 32% αυτών.
Συνεπώς από τα πραγματικά στοιχεία των χρεώσεων ΦΟΠ προκύπτει ότι το 1/3 της συνολικής δαπάνης ρεύματος του Δήμου ετησίως.
04. Ανταποδοτικά Έσοδα 2019 και 7μηνα 2019 & 2020
|
2020 (31-7) |
2019 (έως 31-7) |
2019 |
|
|
ΕΙΣΠΡΑΧΘΕΝΤΑ |
ΕΙΣΠΡΑΧΘΕΝΤΑ |
ΕΙΣΠΡΑΧΘΕΝΤΑ |
|
|
ΚΑ-031 |
9.579.507,86 |
11.189.781,07 |
19.318.077,17 |
|
ΚΑ-2111 |
9.528,04 |
184.461,56 |
1.562.828,33 |
|
ΚΑ-3211 |
59.395,14 |
137.709,18 |
261.292,26 |
|
ΣΥΝΟΛΟ |
9.648.431,04 |
11.511.951,81 |
21.142.197,76 |
05. Ανταποδοτικές Δαπάνες 2019 και 7μηνα
2019 & 2020
|
2020 (31-7) |
2019 (31-7) |
2019 έτος |
|||||
|
Σύνολα ΚΑ: 20-6 (πλην
Ρεύματος) |
4.903.617,75 |
6.802.724,34 |
12.226.367,13 |
||||
|
Σύνολα ΚΑ: 20-7 |
28.911,91 |
0 |
0,00 |
||||
|
Σύνολα ΚΑ: 20-81 |
491.211,06 |
156.767,86 |
157.132,74 |
||||
|
20-6211.0001 - Ρεύμα |
3.447.243,15 |
4.082.577,19 |
7.153.764,84 |
||||
|
8.870.983,87 |
11.042.069,39 |
19.539.283,71 |
|||||
|
|
|
|||||||
|
|
|
|
||||||
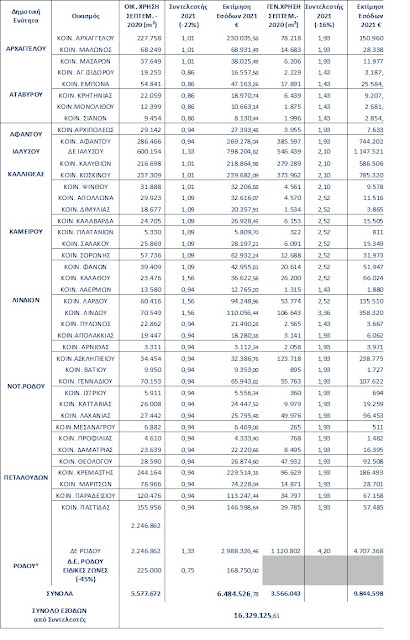
Προβλέψεις 2021 με τους υφιστάμενους Συντελεστές σύμφωνα με την εισπραξιμότητα του 2020 και εντός των ορίων της ΚΥΑ.
*Εγγραφές στον Π/Υ 2021
07. Προβλεπόμενες Δαπάνες Ομάδας 20 για
το Οικ. Έτος 2021
|
Κωδικός |
Τίτλος |
ΠΡΟΒΛΕΨΕΙΣ ΔΑΠΑΝΩΝ 2021 |
|
|
|
|||
|
20 |
ΥΠΗΡΕΣΙΕΣ ΚΑΘΑΡΙΟΤΗΤΑΣ ΚΑΙ ΗΛΕΚΤΡΟΦΩΤΙΣΜΟΥ |
||
|
20-6 |
ΕΞΟΔΑ ΧΡΗΣΗΣ |
||
|
20-60 |
Αμοιβές και έξοδα προσωπικού |
||
|
20-601 |
Αποδοχές μονίμων υπαλλήλων |
||
|
20-6011 |
Τακτικές αποδοχές (περιλαμβάνονται βασικός μισθός, δώρα
εορτών, γενικά και ειδικά τακτικά επιδόματα) |
||
|
20-6011.0001 |
Αποδοχές μονίμων υπαλλήλων |
2.739.809,20 |
|
|
Σύνολο Κ.Α. 20-6011 |
2.739.809,20 |
||
|
20-6012 |
Αποζημίωση υπερωριακής εργασίας και για εξαιρέσιμες
ημέρες και νυκτερινές ώρες και λοιπές
πρόσθετες αμοιβές |
||
|
20-6012.0001 |
Αποζημίωση υπερωριακής εργασίας και για εξαιρέσιμες ημέρες και νυκτερινές
ώρες και λοιπές πρόσθετες αμοιβές |
30.000,00 |
|
|
Σύνολο Κ.Α. 20-6012 |
30.000,00 |
||
|
Σύνολο Κ.Α. 20-601 |
2.769.809,20 |
||
|
20-602 |
Αποδοχές τακτικών υπαλλήλων με σύμβαση αορίστου
χρόνου |
||
|
20-6021 |
Τακτικές αποδοχές (περιλαμβάνονται βασικός μισθός, δώρα
εορτών, γενικά και ειδικά τακτικά επιδόματα) |
||
|
20-6021.0001 |
Αποδοχές υπαλλήλων ιδιωτικού δικαίου Αορίστου χρόνου |
2.389.904,04 |
|
|
20-6021.0002 |
Αποζημίωση των συνταξιοδοτουμένων υπαλλήλων |
50.000,00 |
|
|
Σύνολο Κ.Α. 20-6021 |
2.439.904,04 |
||
|
20-6022 |
Αποζημίωση υπερωριακής εργασίας και για εξαιρέσιμες
ημέρες και νυκτερινές ώρες και λοιπές
πρόσθετες αμοιβές |
||
|
20-6022.0001 |
Αποζημίωση υπερωριακής εργασίας και για εξαιρέσιμες ημέρες και νυκτερινές
ώρες και λοιπές πρόσθετες αμοιβές |
80.000,00 |
|
|
Σύνολο Κ.Α. 20-6022 |
80.000,00 |
||
|
Σύνολο Κ.Α. 20-602 |
2.519.904,04 |
||
|
20-604 |
Αποδοχές εκτάκτων υπαλλήλων (επί σύμβαση εκτάκτων
υπαλλήλων, ημερομισθίων ωρομισθίων κ.λ.π.) |
||
|
20-6041 |
Τακτικές αποδοχές (περιλαμβάνονται βασικός μισθός, δώρα
εορτών, γενικά και ειδικά τακτικά επιδόματα) |
||
|
20-6041.0001 |
Αποδοχές υπαλλήλων ορισμένου χρόνου |
25.000,00 |
|
|
Σύνολο Κ.Α. 20-6041 |
25.000,00 |
||
|
Σύνολο Κ.Α. 20-604 |
25.000,00 |
||
|
20-605 |
Εργοδοτικές εισφορές Δήμων & κοινοτήτων κοινωνικής
ασφάλισης |
||
|
20-6051 |
Εργοδοτικές εισφορές προσωπικού με σύμβαση δημοσίου
δικαίου |
||
|
20-6051.0001 |
Εργοδοτικές εισφορές μονίμων υπαλλήλων |
561.136,96 |
|
|
Σύνολο Κ.Α. 20-6051 |
561.136,96 |
||
|
20-6052 |
Εργοδοτικές εισφορές υπαλλήλων με σύμβαση αορίστου
χρόνου |
||
|
20-6052.0001 |
Εργοδοτικές εισφορές υπαλλήλων Αορίστου Χρόνου |
641.368,92 |
|
|
Σύνολο Κ.Α. 20-6052 |
641.368,92 |
||
|
20-6054 |
Εργοδοτικές εισφορές έκτακτου προσωπικού |
||
|
20-6054.0001 |
Εργοδοτικές εισφορές εκτάκτου προσωπικού |
8.000,00 |
|
|
Σύνολο Κ.Α. 20-6054 |
8.000,00 |
||
|
Σύνολο Κ.Α. 20-605 |
1.210.505,88 |
||
|
20-606 |
Παρεπόμενες παροχές και έξοδα προσωπικού |
||
|
20-6062 |
Έξοδα κηδείας αποβιούντων υπαλλήλων (άρθρο 112
Ν 1188/81) |
||
|
20-6062.0001 |
Έξοδα κηδείας αποβιούντων υπαλλήλων (άρθρο 112 Ν 1188/81) |
1.000,00 |
|
|
Σύνολο Κ.Α. 20-6062 |
1.000,00 |
||
|
20-6063 |
Λοιπές παροχές σε είδος(μέσα ατομικής προστασίας
και γάλα) |
||
|
20-6063.0001 |
Παροχές σε γάλα |
41.000,00 |
|
|
20-6063.0002 |
Παροχή ειδών ατομικής προστασίας |
50.000,00 |
|
|
20-6063.0004 |
Καταβολή παροχής μέσων ατομικής προστασίας & Γάλακτος σε χρήμα,
παρελθόντων ετών βάση του Ν. 4483/2017 |
230.000,00 |
|
|
Σύνολο Κ.Α. 20-6063 |
321.000,00 |
||
|
Σύνολο Κ.Α. 20-606 |
322.000,00 |
||
|
Σύνολο Κ.Α. 20-60 |
6.847.219,12 |
||
|
20-61 |
Αμοιβές αιρετών και τρίτων |
||
|
20-611 |
Αμοιβές και έξοδα ελευθέρων επαγγελματιών |
||
|
20-6112 |
Αμοιβές τεχνικών |
||
|
20-6112.0004 |
Παροχή υπηρεσιών Τεχνικού Συμβούλου για το έργο "Μελέτη,
χρηματοδότηση, κατασκευή, συντήρηση και λειτουργία του Ολοκληρωμένου
Συστήματος Διαχείρισης Απορριμμάτων Νήσου Ρόδου μέσω ΣΔΙΤ" |
10.000,00 |
|
|
Σύνολο Κ.Α. 20-6112 |
10.000,00 |
||
|
20-6117 |
Λοιπές αμοιβές λοιπών εκτελούντων ειδικές υπηρεσίες
με την ιδιότητα του ελεύθερου επαγγελματία |
||
|
20-6117.0001 |
Υπηρεσίες Εξωτερικού διακριβωτή για το έργο |
2.000,00 |
|
|
20-6117.0004 |
Παροχή υπηρεσιών Χρηματοοικονομικού Συμβούλου για το έργο "Μελέτη,
χρηματοδότηση, κατασκευή, συντήρηση και λειτουργία του Ολοκληρωμένου
Συστήματος Διαχείρισης Απορριμμάτων Νήσου Ρόδου μέσω ΣΔΙΤ" |
45.000,00 |
|
|
Σύνολο Κ.Α. 20-6117 |
47.000,00 |
||
|
Σύνολο Κ.Α. 20-611 |
57.000,00 |
||
|
20-614 |
Αμοιβές τρίτων με την ιδιότητα νομικού προσώπου |
||
|
20-6142 |
Αμοιβές νομικών προσώπων ιδιωτικού δικαίου |
||
|
20-6142.0001 |
Παροχή υπηρεσιών για την τεχνική και συμβουλευτική υποστήριξη του Δήμου
Ρόδου για την διασφάλιση της ορθής διαχείρισης, παρακολούθησης, υλοποίησης
και ολοκλήρωσης του έργου Interreg Med BlueIslands |
7.500,00 |
|
|
20-6142.0002 |
Παροχή υπηρεσιών ανεξάρτητου σύμβουλου Υποστήριξης του Δήμου για την
Ενεργ. αναβάθμιση – Αυτομ/ση του συστ/τος ηλεκτρ/σμού κοινόχρηστων χώρων και
εφαρμ. Smart-Cities με εξοικ/ση ενέργειας στο Δ. Ρόδου |
31.000,00 |
|
|
20-6142.0003 |
Παροχή υπηρεσίας για την υποστήριξη του Δήμου Ρόδου στην υποβολή πρότασης
χρηματοδότησης στο Υ.ΜΕ.ΠΕΡ.Α.Α σχετικά με Δράσεις Ολοκληρωμένης Διαχείρησης
Βιοαποβλήτων και Αστικ. Στερεών Αποβλήτων στην Π.Ν.Α |
24.800,00 |
|
|
20-6142.0004 |
Παροχή υπηρεσίας για την υποστήριξη του Δήμου Ρόδου στην υποβολή πρότασης
χρηματοδότησης στο Υ.ΜΕ.ΠΕΡ.Α.Α σχετικά με την δημιουργία Πράσινων Σημείων
στην Περιφέρεια Νοτίου Αιγαίου. |
0,00 |
|
|
20-6142.0005 |
Παροχή υπηρεσιών συλλογής και διαχείρισης νεκρών ζώων απο οδικό δίκτυο
του Δήμου Ρόδου. |
24.800,00 |
|
|
20-6142.0006 |
Παροχή υπηρεσίας για συλλογή, μεταφορά και διαχείριση ιατρικών αποβλήτων
του κυνοκομείου Ρόδου. |
12.000,00 |
|
|
20-6142.0007 |
Δαπάνες προώθησης Ανακύκλωσης |
24.000,00 |
|
|
Σύνολο Κ.Α. 20-6142 |
124.100,00 |
||
|
Σύνολο Κ.Α. 20-614 |
124.100,00 |
||
|
Σύνολο Κ.Α. 20-61 |
181.100,00 |
||
|
20-62 |
Παροχές τρίτων |
||
|
20-621 |
Παροχές παραγωγικής διαδικασίας |
||
|
20-6211 |
Αντίτιμο ηλεκτρικού ρεύματος για φωτισμό οδών,
πλατειών και κοινόχρηστων χώρων και παραγωγικής
διαδικασίας |
||
|
20-6211.0001 |
Αντίτιμο ηλεκτρικού ρεύματος για φωτισμό οδών, πλατειών και κοινόχρηστων
χώρων και παραγωγικής διαδικασίας |
2.300.000,00 |
|
|
20-6211.0002 |
Δαπάνες νέων παροχών, αυξήσεις παροχών, παραλλαγή – μετατόπιση δικτύων,
επέκταση και συμπλήρωση δικτύων |
60.000,00 |
|
|
Σύνολο Κ.Α. 20-6211 |
2.360.000,00 |
||
|
Σύνολο Κ.Α. 20-621 |
2.360.000,00 |
||
|
20-624 |
Ενοίκια χρηματοδοτικής μίσθωσης leasing |
||
|
20-6243 |
Leasing μηχανημάτων |
||
|
20-6243.0001 |
Προμήθεια με χρηματοδοτική μίσθωση μηχανήματος έργου |
61.503,96 |
|
|
Σύνολο Κ.Α. 20-6243 |
61.503,96 |
||
|
20-6244 |
Leasing μεταφορικών μέσων |
||
|
20-6244.0001 |
Προμήθεια με χρηματοδοτική μίσθωση μηχανολογικού εξοπλισμού |
223.695,96 |
|
|
Σύνολο Κ.Α. 20-6244 |
223.695,96 |
||
|
Σύνολο Κ.Α. 20-624 |
285.199,92 |
||
|
20-625 |
Ασφάλιστρα |
||
|
20-6252 |
Ασφάλιστρα μηχανημάτων - Τεχνικών εγκαταστάσεων |
||
|
20-6252.0002 |
Ασφάλιστρα για ΚΔΑΥ |
0,00 |
|
|
Σύνολο Κ.Α. 20-6252 |
0,00 |
||
|
Σύνολο Κ.Α. 20-625 |
0,00 |
||
|
20-626 |
Συντήρηση και επισκευή αγαθών διαρκούς χρήσης από
τρίτους |
||
|
20-6264 |
Συντήρηση και επισκευή λοιπών μηχανημάτων |
||
|
20-6264.0001 |
Συντήρηση,Επισκευή Οχημάτων-Μηχανημάτων |
2.000,00 |
|
|
Σύνολο Κ.Α. 20-6264 |
2.000,00 |
||
|
Σύνολο Κ.Α. 20-626 |
2.000,00 |
||
|
20-627 |
Ύδρευση, φωτισμός, καθαριότητα, αποκομιδή απορριμμάτων
(λοιπές παροχές τρίτων) |
||
|
20-6277 |
Δαπάνες συλλογής και μεταφοράς στερεών αποβλήτων
και ανακυκλώσιμων υλικών με υποχρεωτική ανάλυση
στους ακόλουθους κατωτεροβάθμιους |
||
|
20-6277.0005 |
Αποκομιδή–μεταφορά και διαχείριση ΑΣΑ,σάρωση(μηχανική και
χειρονακτική),χορτοκοπή–κλαδοκοπή(μηχανική και χειρονακτική)καθώς και
αποκομιδή και διαχείριση δημοτικών αποβλήτων συσκευασίας του Δήμου Ρόδου |
2.300.000,00 |
|
|
20-6277.0006 |
Παροχή Ολοκληρωμένων υπηρεσιών καθαριότητας Δήμου Ρόδου |
3.500.000,00 |
|
|
Σύνολο Κ.Α. 20-6277 |
5.800.000,00 |
||
|
20-6279 |
Λοιπές δαπάνες για ύδρευση, άρδευση, φωτισμό,
καθαριότητα |
||
|
20-6279.0001 |
Διαχείριση και λειτουργία ΧΥΤΑ Ν. Ρόδου |
300.000,00 |
|
|
20-6279.0002 |
Υπηρεσία Ενεργειακής αναβάθμισης – Αυτοματοποίησης του συστήματος
ηλεκτροφωτισμού κοινοχρήστων χώρων και εφαρμογές Smart-Cities με εξοικονόμηση
ενέργειας στο Δήμο Ρόδου |
1.450.000,00 |
|
|
Σύνολο Κ.Α. 20-6279 |
1.750.000,00 |
||
|
Σύνολο Κ.Α. 20-627 |
7.550.000,00 |
||
|
Σύνολο Κ.Α. 20-62 |
10.197.199,92 |
||
|
20-64 |
Λοιπά γενικά έξοδα |
||
|
20-642 |
Οδοιπορικά έξοδα και έξοδα ταξιδίων |
||
|
20-6422 |
Οδοιπορικά έξοδα και αποζημίωση μετακινούμενων υπαλλήλων |
||
|
20-6422.0001 |
Οδοιπορικά έξοδα και αποζημίωση μετακινούμενων υπαλλήλων |
1.500,00 |
|
|
Σύνολο Κ.Α. 20-6422 |
1.500,00 |
||
|
Σύνολο Κ.Α. 20-642 |
1.500,00 |
||
|
Σύνολο Κ.Α. 20-64 |
1.500,00 |
||
|
20-66 |
Δαπάνες προμήθειας αναλωσίμων |
||
|
20-664 |
Καύσιμα και λιπαντικά |
||
|
20-6641 |
Προμήθεια καυσίμων και λιπαντικών για κίνηση μεταφορικών
μέσων |
||
|
20-6641.0001 |
Προμήθεια καυσίμων και λιπαντικών για κίνηση μεταφορικών μέσων (Νέα
σύμβαση) |
300.000,00 |
|
|
20-6641.0002 |
ΠΡΟΜΗΘΕΙΑ ΚΑΥΣΙΜΩΝ ΚΑΙ ΛΙΠΑΝΤΙΚΩΝ ΓΙΑ ΤΗΝ ΚΙΝΗΣΗ ΜΕΤΑΦΟΡΙΚΩΝ ΜΕΣΩΝ ΤΟΥ
ΔΗΜΟΥ ΡΟΔΟΥ |
0,00 |
|
|
Σύνολο Κ.Α. 20-6641 |
300.000,00 |
||
|
Σύνολο Κ.Α. 20-664 |
300.000,00 |
||
|
20-666 |
Υλικά συντήρησης κτιρίων και έργων |
||
|
20-6662 |
Υλικά συντήρησης και επισκευής λοιπών εγκαταστάσεων |
||
|
20-6662.0001 |
Ηλεκτρολογικό υλικό |
||
|
20-6662.0001.0001 |
Ηλεκτρολογικό υλικό Δ.Ε. Ρόδου |
40.000,00 |
|
|
20-6662.0001.0002 |
Ηλεκτρολογικό υλικό Δ.Ε. Ιαλυσού |
15.000,00 |
|
|
20-6662.0001.0003 |
Ηλεκτρολογικό υλικό Δ.Ε. Πεταλουδών |
15.000,00 |
|
|
20-6662.0001.0005 |
Ηλεκτρολογικό υλικό Δ.Ε. Καλλιθέας |
15.000,00 |
|
|
20-6662.0001.0006 |
Ηλεκτρολογικό υλικό Δ.Ε. Αφάντου |
15.000,00 |
|
|
20-6662.0001.0007 |
Ηλεκτρολογικό υλικό Δ.Ε. Αρχαγγέλου |
15.000,00 |
|
|
20-6662.0001.0009 |
Ηλεκτρολογικό υλικό Δ.Ε. Λινδίων |
15.000,00 |
|
|
20-6662.0001.0010 |
Ηλεκτρολογικό υλικό Δ.Ε. Νότιας Ρόδου |
15.000,00 |
|
|
20-6662.0001.0011 |
Ηλεκτρολογικό υλικό Δ.Ε. Καμείρου |
15.000,00 |
|
|
20-6662.0001.0012 |
Ηλεκτρολογικό υλικό Δ.Ε. Ατταβύρου |
15.000,00 |
|
|
Σύνολο Κ.Α. 20-6662.0001 |
175.000,00 |
||
|
Σύνολο Κ.Α. 20-6662 |
175.000,00 |
||
|
Σύνολο Κ.Α. 20-666 |
175.000,00 |
||
|
20-667 |
Ανταλλακτικά μηχανικού και λοιπού εξοπλισμού |
||
|
20-6671 |
Ανταλλακτικά μεταφορικών μέσων |
||
|
20-6671.0001 |
Προμήθεια ελαστικών μεταφορικών μέσων (Παλαιότερη σύμβαση) |
||
|
20-6671.0001.0001 |
Προμήθεια ελαστικών οχηματων |
15.000,00 |
|
|
Σύνολο Κ.Α. 20-6671.0001 |
15.000,00 |
||
|
20-6671.0002 |
Λοιπά ανταλακτικά μεταφορικών μέσων |
30.000,00 |
|
|
20-6671.0003 |
Προμήθεια ελαστικών μεταφορικών μέσων |
0,00 |
|
|
20-6671.0006 |
Προμήθεια ελαστικών μεταφορικών μέσων (Νέα σύμβαση) |
30.000,00 |
|
|
Σύνολο Κ.Α. 20-6671 |
75.000,00 |
||
|
20-6672 |
Ανταλλακτικά λοιπών μηχανημάτων |
||
|
20-6672.0002 |
Προμήθεια ανταλακτικών λοιπών μηχανημάτων |
40.000,00 |
|
|
Σύνολο Κ.Α. 20-6672 |
40.000,00 |
||
|
Σύνολο Κ.Α. 20-667 |
115.000,00 |
||
|
Σύνολο Κ.Α. 20-66 |
590.000,00 |
||
|
Σύνολο Κ.Α. 20-6 |
17.817.019,04 |
||
|
20-7 |
ΕΠΕΝΔΥΣΕΙΣ |
||
|
20-71 |
Αγορές κτιρίων τεχνικών έργων και προμήθειας
παγίων |
||
|
20-713 |
Προμήθειες παγίων |
||
|
20-7131 |
Μηχανήματα και λοιπός εξοπλισμός |
||
|
20-7131.0002 |
Προμήθεια εργαλείων |
15.000,00 |
|
|
20-7131.0015 |
Προμήθεια μεσαίων φορτηγών |
140.000,00 |
|
|
20-7131.0016 |
Προμήθεια τετραξονικού φορτηγού |
170.000,00 |
|
|
Σύνολο Κ.Α. 20-7131 |
325.000,00 |
||
|
20-7132 |
Μεταφορικά μέσα |
||
|
20-7132.0003 |
Προμήθεια απορριμματοφόρων |
180.000,00 |
|
|
Σύνολο Κ.Α. 20-7132 |
180.000,00 |
||
|
20-7133 |
Έπιπλα, σκέυη |
||
|
20-7133.0002 |
Μηχανές γραφείου (μηχαν. ηχογράφησης Δ.Σ., φαξ πολυμηχανήματα γρ.
συσκευές αναπαραγωγής, cd, dvd. μηχ.καταστροφής εγγράφων) και εκτυπωτικά
μέσα. |
5.000,00 |
|
|
Σύνολο Κ.Α. 20-7133 |
5.000,00 |
||
|
20-7134 |
Ηλεκτρονικοί υπολογιστές και ηλεκτρονικά συγκροτήματα και
λογισμικά |
||
|
20-7134.0001 |
Προμήθεια Ηλεκτρονικών υπολογιστών και ηλεκτρονικών συγκροτημάτων |
4.000,00 |
|
|
Σύνολο Κ.Α. 20-7134 |
4.000,00 |
||
|
20-7135 |
Λοιπός εξοπλισμός |
||
|
20-7135.0001 |
Προμήθεια Κινητού Ολοκληρωμένου Κέντρου Ανταποδοτικής Ανακύκλωσης Συσκευασιών |
0,00 |
|
|
20-7135.0005 |
Προμήθεια κάδων απορριμμάτων |
||
|
20-7135.0005.0002 |
Προμήθεια κάδων απορριμμάτων για την Δ.Ε. Καλλιθέας |
24.000,00 |
|
|
20-7135.0005.0003 |
Προμήθεια κάδων απορριμμάτων για την Δ.Ε. Αφάντου |
24.000,00 |
|
|
20-7135.0005.0005 |
Προμήθεια κάδων απορριμμάτων για την Δ.Ε. Λίνδου |
24.000,00 |
|
|
20-7135.0005.0006 |
Προμήθεια κάδων απορριμμάτων για την Δ.Ε. Ν. Ρόδου |
24.000,00 |
|
|
20-7135.0005.0007 |
Προμήθεια κάδων απορριμμάτων για την Δ.Ε. Ιαλυσού |
24.000,00 |
|
|
20-7135.0005.0008 |
Προμήθεια κάδων απορριμμάτων για την Δ.Ε. Πεταλούδων |
24.000,00 |
|
|
20-7135.0005.0009 |
Προμήθεια κάδων απορριμμάτων για την Δ.Ε. Καμείρου |
24.000,00 |
|
|
20-7135.0005.0010 |
Προμήθεια κάδων απορριμμάτων για την Δ.Ε. Ατταβύρου |
24.000,00 |
|
|
20-7135.0005.0011 |
Προμήθεια κάδων απορριμμάτων για την Δ.Ε. Ρόδου. |
24.000,00 |
|
|
Σύνολο Κ.Α. 20-7135.0005 |
216.000,00 |
||
|
20-7135.0006 |
Προμήθεια και εγκατάσταση υπογειοποιήμενων κάδων |
||
|
20-7135.0006.0001 |
Προμήθεια και εγκατάσταση υπογειοποιήμενων κάδων Δ.Ε. Ρόδου |
74.000,00 |
|
|
20-7135.0006.0002 |
Προμήθεια και εγκατάσταση υπογειοποιήμενων κάδων Δ.Ε. Ιαλυσού |
74.000,00 |
|
|
20-7135.0006.0003 |
Προμήθεια και εγκατάσταση υπογειοποιήμενων κάδων Δ.Ε. Καμείρου |
74.000,00 |
|
|
Σύνολο Κ.Α. 20-7135.0006 |
222.000,00 |
||
|
20-7135.0007 |
Προμήθεια μεταλλικών επιστηλίων διπλών απορριμματοδεκτών |
0,00 |
|
|
20-7135.0008 |
Προμήθεια εξοπλισμού χειρωνακτικής καθαριότητας |
15.000,00 |
|
|
20-7135.0009 |
Προμήθεια συσκευών συλλογής φιαλών ανακύκλωσης και σίτισης αδέσποτων ζώων |
14.000,00 |
|
|
Σύνολο Κ.Α. 20-7135 |
467.000,00 |
||
|
Σύνολο Κ.Α. 20-713 |
981.000,00 |
||
|
Σύνολο Κ.Α. 20-71 |
981.000,00 |
||
|
20-73 |
Έργα |
||
|
20-732 |
Δαπάνες κατασκευής πάγιων (μόνιμων) εγκαταστάσεων κοινής
χρήσεως |
||
|
20-7325 |
Εγκαταστάσεις ηλεκτροφωτισμού κοινής χρήσης |
||
|
20-7325.0001 |
Υπογειοποίηση δικτύου ηλεκτροδότησης χαμηλής τάσης ΔΕΗ στην Τ.Κ.
Κατταβιάς. |
0,00 |
|
|
Σύνολο Κ.Α. 20-7325 |
0,00 |
||
|
Σύνολο Κ.Α. 20-732 |
0,00 |
||
|
Σύνολο Κ.Α. 20-73 |
0,00 |
||
|
20-74 |
Μελέτες , έρευνες, πειραματικές εργασίες και ειδικές
δαπάνες |
||
|
20-741 |
Μελέτες - έρευνες και πειραματικές εργασίες |
||
|
20-7413 |
Λοιπές μελέτες |
||
|
20-7413.0001 |
Μελέτες ωρίμανσης για την κατασκευή νέου κυττάρου στο ΧΥΤΑ Ρόδου |
11.588,09 |
|
|
Σύνολο Κ.Α. 20-7413 |
11.588,09 |
||
|
Σύνολο Κ.Α. 20-741 |
11.588,09 |
||
|
Σύνολο Κ.Α. 20-74 |
11.588,09 |
||
|
20-75 |
Τίτλοι πάγιας επένδυσης (συμμετοχές σε επιχορηγήσεις) |
||
|
20-752 |
Συμμετοχή σε λοιπές επιχειρήσεις και λοιπά νομικά
πρόσωπα |
||
|
20-7521 |
Συμμετοχή σε λοιπές επιχειρήσεις και λοιπά νομικά
πρόσωπα |
||
|
20-7521.0002 |
Συμμετοχή Δήμου Ρόδου στο Μετοχικό Κεφάλαιο ΦΟΣΔΑ |
334.000,00 |
|
|
Σύνολο Κ.Α. 20-7521 |
334.000,00 |
||
|
Σύνολο Κ.Α. 20-752 |
334.000,00 |
||
|
Σύνολο Κ.Α. 20-75 |
334.000,00 |
||
|
Σύνολο Κ.Α. 20-7 |
1.326.588,09 |
||
|
20-8 |
ΠΛΗΡΩΜΕΣ Π.Ο.Ε. & ΛΟΙΠΕΣ ΑΠΟΔΟΣΕΙΣ ΚΑΙ ΠΡΟΒΛΕΨΕΙΣ |
||
|
20-81 |
Πληρωμές υποχρεώσεων (Π.Ο.Ε.) |
||
|
20-811 |
Πληρωμές υποχρεώσεων λειτουργικών δαπανών (ΠΟΕ) |
||
|
20-8111 |
Αμοιβές και έξοδα προσωπικού |
||
|
20-8111.0001 |
Αμοιβές και έξοδα προσωπικού |
20.000,00 |
|
|
Σύνολο Κ.Α. 20-8111 |
20.000,00 |
||
|
20-8112 |
Αμοιβές αιρετών αρχόντων και τρίτων |
||
|
20-8112.0001 |
Αμοιβές αιρετών αρχόντων και τρίτων |
2.600,00 |
|
|
Σύνολο Κ.Α. 20-8112 |
2.600,00 |
||
|
20-8113 |
Αμοιβές και έξοδα τρίτων Παροχές τρίτων |
||
|
20-8113.0001 |
Αμοιβές και έξοδα τρίτων Παροχές τρίτων |
60.000,00 |
|
|
Σύνολο Κ.Α. 20-8113 |
60.000,00 |
||
|
20-8116 |
Δαπάνες προμήθειας αναλωσίμων |
||
|
20-8116.0001 |
Δαπάνες προμήθειας αναλωσίμων |
40.000,00 |
|
|
Σύνολο Κ.Α. 20-8116 |
40.000,00 |
||
|
Σύνολο Κ.Α. 20-811 |
122.600,00 |
||
|
20-812 |
Πληρωμές επενδυτικών δαπανών (ΠΟΕ) |
||
|
20-8121 |
Αγορές κτιρίων τεχνικών έργων και προμήθειες
παγίων |
||
|
20-8121.0001 |
Αγορές κτιρίων τεχνικών έργων και προμήθειες παγίων |
15.000,00 |
|
|
Σύνολο Κ.Α. 20-8121 |
15.000,00 |
||
|
Σύνολο Κ.Α. 20-812 |
15.000,00 |
||
|
Σύνολο Κ.Α. 20-81 |
137.600,00 |
||
|
20-85 |
Προβλέψεις μη είσπραξης εισπρακτέων υπολοίπων βεβαιωμένων
κατά τα ΠΟΕ εντός του οικονομικού έτους |
||
|
20-851 |
Προβλέψεις μη είσπραξης εισπρακτέων υπολοίπων ΠΟΕ
εντός του οικονομικού έτους |
||
|
20-8511 |
Προβλέψεις μη είσπραξης εισπρακτέων υπολοίπων |
||
|
20-8511.0001 |
Προβλέψεις μη είσπραξης εισπρακτέων υπολοίπων |
6.161.655,60 |
|
|
Σύνολο Κ.Α. 20-8511 |
6.161.655,60 |
||
|
Σύνολο Κ.Α. 20-851 |
6.161.655,60 |
||
|
Σύνολο Κ.Α. 20-85 |
6.161.655,60 |
||
|
Σύνολο Κ.Α. 20-8 |
6.299.255,60 |
||
|
|
|
|
|
|
Σύνολα Κ.Α. για ΥΠΗΡΕΣΙΕΣ ΚΑΘΑΡΙΟΤΗΤΑΣ ΚΑΙ ΗΛΕΚΤΡΟΦΩΤΙΣΜΟΥ |
25.442.862,73 |
||
Σημειώνεται ότι στον καθορισμό του ύψους των Συντελεστών δεν ασκεί επιρροή η πρόβλεψη μη είσπραξης (85) αλλά τα πραγματικά εισπραχθέντα προηγουμένων ετών. Η πρόβλεψη μη είσπραξης ως έξοδο και τα βεβαιωθέντα προηγούμενων ετών δεν αποτελούν αντιστοίχως πραγματικό έξοδο και πραγματικό έσοδο. Αποτυπώνονται στον Π/Υ αλλά δεν αποτελούν πραγματικό αντικείμενο συναλλαγής. Οι Συντελεστές ανταποδοτικών τελών προσδιορίζονται από τα πραγματικά έσοδα και από την πρόβλεψη πραγματικής είσπραξης παλαιοτέρων οφειλών.
08. Προτεινόμενοι Μειωμένοι Συντελεστές
για το Οικονομικό Έτος 2021
Κατά τα ανωτέρω, από τις εκτιμήσεις εσόδων και δαπανών για τις ανταποδοτικές υπηρεσίες (καθαριότητας & ηλεκτροφωτισμού) είναι ισοσκελισμένες.
|
2021 Σύνολο Εσόδων (για πληρωμή Ανταποδοτικών
Δαπανών) (α) |
19.247.572,49 € |
|
2021 Σύνολο Ανταποδοτικών Δαπανών (β) |
19.281.207,13 € |
|
Διαφορά (β)-(α) |
-33.634,64 € |
|
Διαφορά % |
-0,174% |
|
2021 - Σύνολο Εσόδων |
19.247.572,49 € |
|
Χρηματικό υπόλοιπο |
-2.920.000,00 € |
|
Έσοδα από εφαρμογή ανταποδοτικών Συντελεστών για 2021 |
16.327.872,49 € |
Για την είσπραξη αυτού του ποσού εσόδων (16.327.872,49) οι υφιστάμενοι Συντελεστές Ανταποδοτικών τελών πρέπει να μειωθούν.
Με Οριζόντια μείωση κατά 22% στο Συντελεστή Οικιακής Χρήσης και με Οριζόντια μείωση κατά 16% στο Συντελεστή Γενικής Χρήσης, διαμορφώνονται ως ακολούθως, με προσέγγιση σε δεύτερο δεκαδικό ψηφίο:
1α. ΠΕΡΙΟΧΗ ΠΙΣΩ ΑΠΟ
ΤΟ ΠΑΝΕΠΙΣΤΗΜΙΟ ΑΙΓΑΙΟΥ:
Τμήμα του Οικοδομικού Τετραγώνου 103 που περικλείεται από:
Την οδό Κομνηνών (πίσω από το γήπεδο του Δωριέα έως την οδό Αγ. Ιωάννη),
Την οδό Αγ. Ιωάννη, (από τη συμβολή με την Κομνηνών έως την προέκταση της Ιουστινιανού)
Την οδό Ιουστινιανού περιλαμβανομένου και του τετράγωνου τμήματος της καζέρμας που περικλείεται από το ναΰδριο της Αγίας Ειρήνης Χρυσοβαλάντου και τον χώρο στάθμευσης του Πανεπιστημίου και εκτείνεται πίσω από το κυκλικό τμήμα του αύλειου χώρου του Πανεπιστημίου και πίσω από τα γήπεδα 5x5 έως την οδό Κομνηνών.
1β. ΠΕΡΙΟΧΗ ΟΡΦΕΑΣ:
1. ΠΕΡΙΟΧΗ ΜΕΓΓΑΒΛΗ:
Η περιοχή περικλείεται από:
Από την οδό Κώστα Βάρναλη (αρχίζοντας από τη συμβολή της με την Κώστα Ουράνη προς Δ.)
Ακολουθώντας το καμπύλο ανάγλυφο του εδάφους Δ του Ο.Τ. 861
Τη Β πλευρά του Ο.Τ. 703Α
Την οδό Γιάννη Ρίτσου έως την Κώστα Βάρναλη
Την οδό Κωνσταντίνου Καβάφη έως την Άγγελου Σικελιανού
Την ανώνυμη αδιέξοδο που εκτείνεται προς Ν.Α. έως το ρέμα (ΒΑ της Κάτω Ηλιούπολης - πίσω από το JUMBO)
Παράλληλα στο ρέμα έως την οδό Κώστα Βάρναλη.
2. ΠΕΡΙΟΧΗ ΖΕΦΥΡΟΣ
3.
ΜΕΣΑΙΩΝΙΚΗ ΠΟΛΗ
Όλη η περικλειόμενη
περιοχή της Μεσαιωνικής πόλης.
09. Εξαιρέσεις – Εκπτώσεις Κοινωνικών Ομάδων
Επί των προβλεπόμενων Συντελεστών Οικιακής Χρήσης κατά περιοχή προβλέπονται τα ακόλουθα για τις αντίστοιχες κοινωνικές ομάδες για την κύρια κατοικία τους:
1. Πλήρης απαλλαγή στα Ανταποδοτικά Τέλη για την κύρια κατοικία, για άτομα με ποσοστό αναπηρίας 67% και άνω, και με ετήσιο οικογενειακό εισόδημα έως 6.000€.
2. Μείωση 50% στα Ανταποδοτικά Τέλη κύριας κατοικίας, για Πολύτεκνους & Τρίτεκνους με ετήσιο οικογενειακό εισόδημα έως 20.000€.
3. Μείωση 50% στα Ανταποδοτικά Τέλη κύριας κατοικίας, με ποσοστό αναπηρίας 67% και άνω, και με ετήσιο οικογενειακό εισόδημα από 6.000€ έως 12.000€.
Οι ανωτέρω μειώσεις καθώς και οποιαδήποτε μελλοντική ειδική πρόβλεψη γίνονται με πλασματικό εμβαδόν από την υπηρεσία.
Στη ΔΕΗ ο Δήμος κοινοποιεί ΜΟΝΟΝ τρεις (3) κατηγορίες Συντελεστών:
· Πρώτος συντελεστής: ακίνητα που χρησιμοποιούνται αποκλειστικά για κατοικία. (Όπως στον Πίνακα Κατηγορία Οικιακή Χρήση)
· Δεύτερος συντελεστής: ακίνητα που χρησιμοποιούνται για κοινωφελείς, μη κερδοσκοπικούς και φιλανθρωπικούς σκοπούς. (Όμοια με την Κατηγορία Οικιακή Χρήση)
· Τρίτος συντελεστής: ακίνητα που χρησιμοποιούνται για την άσκηση πάσης φύσης Οικονομικής Δραστηριότητας. (Όπως στον Πίνακα)














Δεν υπάρχουν σχόλια:
Δημοσίευση σχολίου